Skip to main content
Compton Water Association, Inc.
Committed to Providing Clean, Safe Water for All Our Residents
(870) 420-3930
Contact Us
(870) 420-3930
Contact Us
Menu
  • Home
  • Customer Service
    • Contact Us
    • New Service Request
    • Rates & Policies
    • Meter Reading
    • Bill Payment
    • About Us
    • Personnel
    • Location
    • Bank Draft Authorization
  • Forms & Reports
    • All Forms & Reports
    • Water Quality Report
    • Drought Contingency
    • Audit Results
  • News & Notices
    • Recent News
    • ALERTS
    • Board Members
    • Board Meetings
    • Current Projects
    • Proposed Projects
    • Conservation Tips
    • Newsletters
    • Notices
    • Conversion to Public Water
  • Resources
    • FAQ
    • Bylaws
    • Archived Agendas
    • Archived Minutes
    • Archived Documents
Opens in a new window

Notices

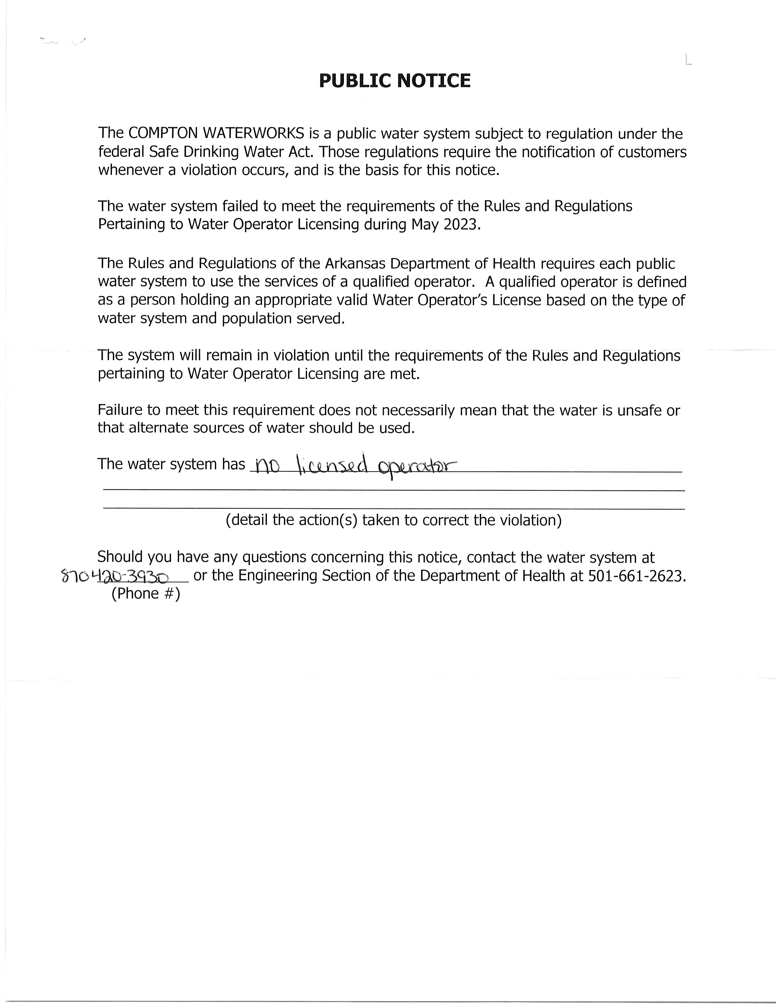
Arkansas Department of Health Public Notice

Related Documents

  • May 2023 ADH Public Notice ( JPG / 660 KB )
  • June 2023 ADH Public Notice ( PDF / 272 KB )
  • July 2023 ADH Public Notice ( JPG / 660 KB )
  • August 2023 ADH Public Notice ( JPG / 714 KB )
  • September 2023 ADH Public Notice ( JPG / 706 KB )
  • October 2023 ADH Public Notice ( JPG / 696 KB )
  • November 2023 ADH Public Notice ( PDF / 255 KB )
  • December 2023 ADH Public Notice ( PDF / 252 KB )
  • January 2024 ADH Public Notice ( PDF / 258 KB )
  • February 2024 ADH Public Notice ( PDF / 286 KB )
  • March 2024 ADH Public ( PDF / 262 KB )
  • September 2024 Public Notice ( PDF / 260 KB )
  • March 2025 Arkansas Dept of Health Public Notice ( PDF / 244 KB )
  • View More
  • View Less
Bill Payment Drought Contingency Water Quality Report

Subscribe

Receive news and alerts via email or text.

Sign Up for Alerts

Unsubscribe

Local Weather
Today Tomorrow Sunday
Thunderstorm with heavy rain
75°/63°
Thunderstorm with rain
80°/64°
Scattered clouds
84°/66°

Alerts

ALERTS

No Alerts at this time.

Contacts

Compton Water Association, Inc.
P.O. Box 825
Compton, AR 72624
View Map
(870) 420-3930
Send Us a Message

Recent News

  • Online Bill Pay
View All News »

Related Links

  • Water Conservation Tips
  • Arkansas Rural Water Association
  • National Rural Water Association
  • Environmental Protection Agency

Follow Us!


© 2026 All rights reserved. | Privacy Policy | Terms of Service | Accessibility
Return to top of page
Powered by RuralWaterImpact.com - Smart Websites for Smart Water Systems™
Admin